
Brisante Neuigkeiten von Sasha Latypowa, einer Pharmaspezialistin, die in der Vergangenheit mit weltweit führenden Pharmaunternehmen zusammengearbeitet hat und sich nun gänzlich der Aufklärung der „Anti-Covid-19-Spritzen“ widmet.
Sie fand nun heraus, dass bei Pfizer/Biontec noch ein drittes Unternehmen, namens „Fosun“ mit im Bunde ist. „Fosun“ gehört der Kommunistischen Partei Chinas.
Darüber hinaus recherchierte sie, dass die „mRNA-Spritzen“ als „Dual-Use- Technologie“ eingestuft sind, worunter man versteht, dass sie friedlichen und militärischen Zwecken dienen. Die Spritzen sind also auch als „Biowaffen“ eingestuft.
Hier ihre neuesten Erkenntnisse:
Die Rolle des US-Verteidigungsministeriums (und seiner Co-Investoren) im Unternehmen „Covid Gegenmaßnahmen“.

Sascha Latypowa 28. Dezember 2022
Ich habe den Chat-Bot einer Künstlichen Intelligenz gefragt: „Welche Rolle spielte das Verteidigungsministerium (DoD) bei Covid- Gegenmaßnahmen?“ Das war die Antwort:
„Das Verteidigungsministerium (DoD) spielte eine wichtige Rolle bei der Entwicklung von Gegenmaßnahmen gegen COVID-19, die durch das neuartige Coronavirus verursachte Krankheit. Das DoD arbeitete bei der Reaktion auf die Pandemie eng mit anderen Bundesbehörden wie dem Department of Health and Human Services (HHS) zusammen.
Eine der Hauptaufgaben des Verteidigungsministeriums bei der COVID-19-Pandemie war die Bereitstellung logistischer Unterstützung und medizinischer Ressourcen, um das Gesundheitspersonal und die Ersthelfer an der Front der Pandemie zu unterstützen. Das Verteidigungsministerium arbeitete auch an der Entwicklung und Verteilung von persönlicher Schutzausrüstung (PSA) und anderen Hilfsgütern zur Unterstützung der Reaktionsmaßnahmen.
Darüber hinaus stellte das Verteidigungsministerium Mittel und Ressourcen zur Verfügung, um die Entwicklung von Impfstoffen und Behandlungsmethoden für COVID-19 zu unterstützen. Die Defense Advanced Research Projects Agency (DARPA), ein Forschungszweig des Verteidigungsministeriums, spielte bei diesen Bemühungen eine Schlüsselrolle, indem sie die Entwicklung von Behandlungen und Impfstoffen durch ihr „Rapid Response Research“-Programm finanzierte und unterstützte.
Insgesamt spielte das Verteidigungsministerium eine entscheidende Rolle bei der Reaktion auf die COVID-19-
Pandemie, indem es logistische Unterstützung, medizinische Ressourcen und finanzielle Mittel für Forschungs- und Entwicklungsmaßnahmen zur Bekämpfung der Krankheit bereitstellte.“
Der „Künstliche Intelligenz Chat Bot“ bekommt ein „F“ – für eine hochgradig kontrollierte erzählerische Antwort, die an alle MSM-Quellen weitergeleitet wurde, während die „alternativen“ Medien sie mit einigen Ausnahmen kaum untersuchten. Es ging nicht nur um Logistik oder auch nur um viel Geld, und sicherlich hat niemand „Krankheiten bekämpft“.
Die Wahrheit ist viel interessanter als die Fiktion:
Alle Covid-Gegenmittel, einschließlich der biologischen Kampfstoffe, die als „Covid-19- Impfstoffe“ vermarktet wurden, wurden vom US-Verteidigungsministerium im Rahmen von Verträgen mit anderen Transaktionsbehörden als „groß angelegte Produktionsdemonstration“ in Auftrag gegeben.
Hunderte von Verträgen über Covid- Gegenmaßnahmen wurden über FOIA (Freedom of Information Act) und SEC- Offenlegungen(Secretary for Health and Human Services-Offenlegungen) in geschwärzter Form zugänglich. Die Durchsicht dieser Verträge deutet auf ein hohes Maß an Kontrolle durch die US- Regierung (DoD/BARDA) (BARDA=Biomedical Advanced Research and Development Authority) hin und legt den Umfang der zu erbringenden Leistungen ausschließlich auf „Demonstrationen“ und „Prototypen“ fest. Mit anderen Worten: Die US-Regierung und das Verteidigungsministerium haben bei den Pharmaherstellern gezielt eine gefälschte Theateraufführung bestellt. Um sicherzustellen, dass die Pharmakonzerne die Fälschungen durchführen können, enthalten die Verträge die Aufhebung jeglicher Haftung für die Hersteller und alle Auftragnehmer entlang der Liefer- und Vertriebskette gemäß dem PREP-Gesetz von 2005 und damit verbundenen Bundesgesetzen.
Die Verträge sind im Rahmen der Other Transactions Authority (OTA) strukturiert – die OTA-Methode ermöglicht es Bundesbehörden, anderweitig regulierte Produkte unter Umgehung solcher Vorschriften zu bestellen, sowie Mechanismen der finanziellen Rechenschaftspflicht, die das normale staatliche Auftragswesen abdecken, und andere Gesetze, die die Offenlegung und das geistige Eigentum (IP) aus öffentlich finanzierter Forschung regeln.
„Sonstiges“ ist eine Auffangkategorie, die keinen Vertrag, keinen Forschungszuschuss, kein Beschaffungswesen usw. darstellt, d. h. keine normal geregelte und rechenschaftspflichtige staatliche Auftragsvergabe.

Hier ist ein typischer Vertragsumfang für „Impfstoffe“:
Die DOD/BARDA-Verträge für Gegenmaßnahmen beziehen sich zwar auf die Sicherheits- und Wirksamkeitsanforderungen für Impfstoffe und erwähnen die Einhaltung der aktuellen guten Herstellungspraktiken (cGMP), aber diese Punkte werden ausdrücklich als nicht von der US-Regierung bezahlt oder bestellt herausgenommen.

Dies wird noch interessanter, wenn wir einige der Schwärzungen in den Verträgen untersuchen:

Ich weiß, was in dem geschwärzten Teil des obigen Absatzes steht, und es war nicht schwer, das herauszufinden. Die erste Schwärzung unter 1.1.1 HINTERGRUND ist „Fosun Pharmaceuticals“, so dass der Satz lautet „Fosun Pharmaceuticals“, Pfizer und BioNTech schlossen eine Vereinbarung über die gemeinsame Entwicklung…“.
Anmerkung: Die einzige mir bekannte Journalistin aus dem „Mainstream“ oder dem „Widerstand“, die Fosun erwähnte, war Naomi Wolf, Hut ab vor ihr. Ich habe mich mit der Epoch Times in Verbindung gesetzt, um zu versuchen, diese Informationen zu veröffentlichen, und selbst sie beschlossen, die Geschichte zu begraben (aber sie veröffentlichten meine anderen Materialien). Ich habe dies in der Sendung von Dr. Jane Ruby besprochen, und auch ihr gebührt Anerkennung dafür, dass sie sich nicht scheut, über die Wahrheit zu berichten.

Pfizer-BioNTech ist in Wirklichkeit eine F&E-Allianz mit drei Parteien: Fosun-Pfizer- BioNTech, und mit „Partei“ meine ich, dass eine der drei Parteien die Kommunistische Partei Chinas ist. Fosun ist ein riesiges chinesisches Konglomerat, das eine große Anzahl globaler Unternehmen besitzt, und sein Vorsitzender Guo Guangchang ist ein sehr hochrangiges Mitglied der KPCh. Es ist merkwürdig, dass das US- Verteidigungsministerium 10 Milliarden Dollar (Pfizers Operation Warp Speed/DoD/ BARDA-Vertrag) an ein Unternehmen vergab, dessen wesentlicher Anteilseigner (und geistiges Eigentum) die Kommunistische Partei Chinas ist. Um jeden Zweifel auszuschließen:

Im Folgenden finden Sie eine Zeitleiste mit einigen der wichtigsten Investitionen und F&E-Geschäften, die ich aus den öffentlichen SEC-Aktionärsinformationen unmittelbar vor und nach der „Pandemie“ ermitteln konnte:

Nur um sicherzugehen, dass wir über die genaue Technologie in den mRNA- Aufnahmen sprechen. Hier ist die Definition aus der Vereinbarung zwischen Pfizer und BioNTech vom 17. März 2020 (S. 4):

Das gleiche Dokument beschreibt eine Vereinbarung über die gemeinsame Nutzung von Daten, „Pharmakovigilanz“, weltweit zwischen den drei Parteien.

Sie werden die Körper zählen und die Daten untereinander austauschen:
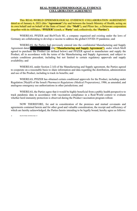
Was den „Pharmakovigilanz“-Aspekt betrifft, so gibt es einen vierten Teilnehmer an dieser Vereinbarung – das israelische
Gesundheitsministerium, das am 6. Januar 2021 eine Vereinbarung über die gemeinsame Nutzung von Daten mit Pfizer abgeschlossen hat und Pfizer (und damit auch dem US- Verteidigungsministerium und allen, die es kontrollieren, BioNTech und allen, die es kontrollieren, Fosun und allen, die es kontrollieren, d. h. die Kommunistische Partei Chinas) Zugang zu den zentralisierten elektronischen Gesundheitsakten aller Bürger gewährt. Aber keine Sorge, Benjamin Netanjahu hat versprochen, dass die Daten nicht identifiziert werden. Aha.

Nebenbei bemerkt: Die israelische Regierung hat vor kurzem die Herstellungs- und Liefervereinbarung mit Pfizer, die in der obigen Vereinbarung über die gemeinsame Nutzung von Daten erwähnt wird,
„verlegt“ (wir wissen also mit Sicherheit, dass sie existiert). Die Regierung kann sie leider aus irgendeinem Grund nicht finden… schlechtes Benehmen.
Die israelische Regierung hat die Vereinbarung mit Pfizer für Covid-impfstoffe „verloren. Das große Risiko bei der Arbeit von zu hause aus ist anscheinend, dass „der Hund deine Hausaufgaben frisst“. Aber das ist wirklich etwas. Israel, auf das jeder auf der Welt blickt…
Die Sache wird noch umfangreicher und interessanter, wenn man sich die Quellen für die Finanzierung von „F&E“ ansieht. Wie sich herausstellt, gab es in den Jahren vor dem weltweiten Betrug und Massenmord zahlreiche Geldgeber und Co-Investoren für das BioNTech-„Unternehmen“. Laut Crunchbase hat BioNTech, ein winziges Unternehmen mit nur einer Handvoll Angestellter und KEINEN PRODUKTEN oder Produktionsanlagen, seit etwa 2008 in 9 Investitionsrunden 1,7 Milliarden Dollar eingesammelt. Ein großer Teil des Geldes, über 1 Mrd. $, wurde vor 2020 aufgebracht. Wofür wurde das Geld verwendet, da es damals keine großen klinischen Studien oder eine umfangreiche Produktion gab? Das ist eine gute Frage, die es wert ist, irgendwann einmal untersucht zu werden. Ein flüchtiger Blick auf einige der Investitionsrunden zeigt eine breite und sehr internationale Beteiligung einer Vielzahl von Investoren aus den USA, Europa, dem Vereinigten Königreich, Australien, Südafrika, dem chinesischen Festland, Hongkong und Singapur und anderen. Darunter waren wahrscheinlich auch viele staatliche Akteure: „staatliche“ Fonds, Pensionsfonds und dergleichen, die diese Investitionen häufig durch die Zuweisung von Geldern an „private Risikofonds“ tätigen (die Kommanditisten eines privaten Risikofonds sind vertraulich). Vielleicht werde ich zu einem späteren Zeitpunkt einen separaten Artikel darüber schreiben.
Viele Leute fragen mich übrigens: „Was ist mit China und Russland?“, wenn ich über unsere eigene Regierung und das Verteidigungsministerium spreche, die einen Massengenozid an Amerikanern begehen. Ich habe über China geantwortet – sie sind mit dem US-Verteidigungsministerium in dieser Sache verbündet. Die KPCh profitiert von dem finanziellen Glücksfall, dass die US- Regierung Dollars druckt und sie in die MRNA-Öfen wirft, wo sie Massen von gehirngewaschenen Bürgern in den Selbstmord treibt. China behauptet, „traditionelle Impfstoffe“ zu verwenden – wenn Sie glauben, was die Chinesen sagen, habe ich Ihnen eine Brücke zu verkaufen.
Ich habe keine Beweise für ein ähnliches Bündnis mit Russland gesehen. Das macht Sinn, denn letztlich läuft es auf einen Krieg zwischen den USA und Russland hinaus, bei dem Stellvertreter und Allianzen eingesetzt werden (wie immer). Das bedeutet nicht, dass Russland „die Guten“ sind. Es bedeutet lediglich, dass die Eigentümer Russlands (wer auch immer sie sind, nicht unbedingt in Russland ansässig) mit den Eigentümern der USA (wer auch immer sie sind, nicht unbedingt in den USA ansässig) nicht einverstanden sind. Russland verwendet dasselbe „Covid-Skript“, indem es nachgemachte RNA/DNA-Injektionen einsetzt, wahrscheinlich Material von denselben Lieferanten kauft und auch Krieg einsetzt, um seine eigene junge Bevölkerung zu töten. Es ist nur so, dass sie es für IHRE EIGENEN Interessen tun, nicht für die der USA und ihrer Verbündeten.
Zurück zu diesem westlichen Kontinent – wir haben bereits festgestellt, dass „Covid-19- Impfstoffe“ Biokampfstoffe sind, rechtlich gesehen keine Arzneimittel, keine Pharmazeutika, und nicht als solche geregelt.
Die Verwendung von Gegenmaßnahmen, die im Rahmen eines für die öffentliche Gesundheit ausgerufenen Notfalls genehmigt wurden (Emergency Use Authorized, EUA), kann keine klinische Prüfung darstellen (21 USC 360bbb-3(k)), so dass diese Gegenmaßnahmen nicht gemäß den US- Gesetzen (21 CFR 312 und 21 CFR 601) auf Sicherheit oder Wirksamkeit getestet werden können und die Einhaltung der geltenden guten Herstellungspraxis (cGMP) oder der guten Vertriebspraxis (GxP) von der FDA nicht durchgesetzt werden kann.
Diese rechtliche Tatsache war den an der OWS beteiligten Beamten der US-Regierung, des Verteidigungsministeriums, der BARDA, der FDA, der CDC und des HHS, die die Verträge unterzeichneten, bekannt, ebenso wie Pfizer, Moderna und anderen Pharmaunternehmen. mRNA-Technologie wurde schon immer als Dual-Use-Technologie eingestuft, eine Kategorie von Biowaffen: mRNA-Injektionen als Dual-Use-Technologie – Bewertung der Gefahr des Missbrauchs als biologische und chemische Waffen.
In der Politik, der Diplomatie und der Exportkontrolle bezieht sich der Begriff „Dual-Use“ auf Technologien, die sowohl für friedliche als auch für militärische Zwecke genutzt werden können. Die mRNA- Technologie, einschließlich der Verkörperungen als injizierbare Medikamente oder Impfstoffe, wird seit langem als Dual- Use-Technologie bezeichnet. Siehe Referenzen…
Von Anfang an wurde die „Covid-Pandemie“ von der US-Regierung als Angelegenheit der nationalen Sicherheit (d.h. Krieg) behandelt, und die Covid-Politik wurde vom Nationalen Sicherheitsrat (einer Versammlung von Verteidigungs- und Geheimdienstchefs) festgelegt, nicht vom HHS.
13. März 2020: Der „PanCAP Adapted U.S. Government COVID-19 Response
Plan“ (PanCAP-A) besagt, dass die Politik der Vereinigten Staaten als Reaktion auf SARS- CoV-2 nicht von den in den Pandemievorbereitungsprotokollen (Pandemic and All Hazards Preparedness Act, PPD-44, BIA) benannten Gesundheitsbehörden festgelegt wird, sondern vom Nationalen Sicherheitsrat (NSC). Der Nationale Sicherheitsrat wird nicht regelmäßig von Vertretern der öffentlichen Gesundheitsbehörden besucht und konzentriert sich auf Fragen der nationalen Sicherheit und der Außenpolitik.
Im Folgenden finden Sie das Organigramm aus dem PanCAP-A-Dokument, S. 9:

Wenn eine bekannte waffenfähige Technologie einen haftungsfreien, außergerichtlichen Status erhält, der vor allen Vorschriften geschützt ist, ist es nicht schwer, zwei und zwei zusammenzuzählen. Die Beamten der nationalen Sicherheit, des Verteidigungsministeriums und der Geheimdienste wussten das alles ganz genau. Sie genehmigten einen 10-Milliarden-Dollar- Auftrag zum Kauf dieser waffenfähigen Technologie von dem Unternehmen Fosun-Pfizer-BioNTech (hinter dem zahlreiche ausländische Regierungen einschließlich der chinesischen stehen), um sie während des Krieges an die Amerikaner zu liefern und einzusetzen.
Ich denke, es sollte inzwischen klar sein, dass die „Kriegsführung der fünften Generation“ nicht nur aus dem Einsatz von Psyops und der totalen Kontrolle der sozialen Medien durch das FBI und die CIA besteht (das ist so was von letztes Jahrhundert!), und auch nicht aus „Profit geht vor Sicherheit“, „die schlechte FDA hat Myokarditis übersehen“ oder „Big Pharma bezahlt Politiker für Wahlkampagnen“. Darüber sind wir weit, weit hinaus. Ich weise immer wieder darauf hin, dass, wenn das Motiv nur der Profit wäre, die profitabelste Strategie darin bestanden hätte, Placebos zu liefern. Sie würden damit keine Gesetze verletzen, es gäbe keine unerwünschten Ereignisse und Todesfälle, das Produkt sähe vollkommen cGMP-konform aus, und das Covid wäre schnell von selbst verschwunden. Doch das Pharma-Kartell der Regierungen (Plural) besteht darauf, Millionen von Menschen zu töten und zu verletzen und damit offensichtlich das Gewinnpotenzial zu begrenzen.
Der gegenwärtige Krieg ist der Krieg der globalen Regierungen (Plural), die nur vorgeben, miteinander im Streit zu liegen, indem sie sich als „links“, „rechts“, „Kommunisten“, „Grüne“, „Kapitalisten“, „Sozialisten“, „Populisten“, „Konservative“ usw. usw. in einer nicht enden wollenden Clownshow des politischen Theaters vermarkten. Hinter den Kulissen sind die „offiziellen Feinde“ Partner und Co-Investoren in „Joint Ventures“ gegen uns, die Völker der Welt. Sie verwenden das Geld der Steuerzahler, um verbotene biologische Kampfstoffe zu finanzieren, zu entwickeln, dann zu „genehmigen“, zu kaufen und einzusetzen, um ihre eigene Zivilbevölkerung, ihre eigenen Streitkräfte, Ersthelfer, medizinisches Personal, schwangere Frauen und Kinder zu töten und zu verletzen. Um dem Einhalt zu gebieten, muss jeder von uns anfangen, eine korrekte, präzise Sprache zu verwenden und die Dinge als das zu bezeichnen, was sie wirklich sind.

Kommentare
4 Kommentare zu „Was die chinesische Kommunistische Partei unter anderem mit der „Biowaffe Covid-19-Spritze“ zu tun hat“